Business Kcse Paper 1 . Questions state four characteristics of a successful entrepreneur. Web we’re a team of professionals who have taught in several schools and been involved in marking of kcpe and kcse exams. (b)sign and write the date of examination in the spaces provided. Web print pdf for future reference. (4 marks) population size that is adequate for the full utilisation of available resources in a country. Web kcse past papers 2021 business studies paper 1. State four characteristics of a successful entrepreneur. Web highlight four ways in which the economic environment may lead to business success. List four external environmental factors that. (4 marks) name the basic concept in population described in the statements given below: Get on whatsapp download as pdf. Published in kenya certificate of secondary education (kcse) 2021 past papers questions and answers. This paper consists of 12 printed pages. (4 marks) outline four challenges. (4 marks) list four types of business activities.
from teacher.co.ke
Web kcse past papers 2020 business studies paper 1. Web outline four roles played by the nairobi securities exchange in the kenyan economy. (b)sign and write the date of examination in the spaces provided. Published in kenya certificate of secondary education (kcse) 2021 past papers questions and answers. Web we’re a team of professionals who have taught in several schools and been involved in marking of kcpe and kcse exams. (4 marks) population size that is adequate for the full utilisation of available resources in a country. Web print pdf for future reference. Get on whatsapp download as pdf. (4 marks) name the basic concept in population described in the statements given below: State four characteristics of a successful entrepreneur.
2021 KCSE Past Papers with Marking Schemes Teacher.co.ke
Business Kcse Paper 1 Get on whatsapp download as pdf. This paper consists of 12 printed pages. Web outline four roles played by the nairobi securities exchange in the kenyan economy. Web kcse past papers 2020 business studies paper 1. (4 marks) outline four challenges. Published in kenya certificate of secondary education (kcse) 2021 past papers questions and answers. Web answer all the questions in the spaces provided in the question paper. Web print pdf for future reference. Web we’re a team of professionals who have taught in several schools and been involved in marking of kcpe and kcse exams. Questions state four characteristics of a successful entrepreneur. (b)sign and write the date of examination in the spaces provided. (4 marks) population size that is adequate for the full utilisation of available resources in a country. Web highlight four ways in which the economic environment may lead to business success. (4 marks) list four types of business activities. List four external environmental factors that. State four characteristics of a successful entrepreneur.
From www.scribd.com
2015 KCSE Business Studies Paper2 PDF Business Kcse Paper 1 Web highlight four ways in which the economic environment may lead to business success. Web answer all the questions in the spaces provided in the question paper. Published in kenya certificate of secondary education (kcse) 2021 past papers questions and answers. (4 marks) name the basic concept in population described in the statements given below: Web we’re a team of. Business Kcse Paper 1.
From teacher.co.ke
2021 KCSE Past Papers with Marking Schemes Teacher.co.ke Business Kcse Paper 1 Published in kenya certificate of secondary education (kcse) 2021 past papers questions and answers. Web kcse past papers 2020 business studies paper 1. Web highlight four ways in which the economic environment may lead to business success. (4 marks) name the basic concept in population described in the statements given below: List four external environmental factors that. Web kcse past. Business Kcse Paper 1.
From elimukenya.co.ke
KCSE mathematics paper 1 Business Kcse Paper 1 Web highlight four ways in which the economic environment may lead to business success. Web answer all the questions in the spaces provided in the question paper. Published in kenya certificate of secondary education (kcse) 2021 past papers questions and answers. Get on whatsapp download as pdf. Web we’re a team of professionals who have taught in several schools and. Business Kcse Paper 1.
From www.scribd.com
KCSE 2008 Business Studies PAPER 2 PDF Business Kcse Paper 1 This paper consists of 12 printed pages. (4 marks) name the basic concept in population described in the statements given below: (b)sign and write the date of examination in the spaces provided. Get on whatsapp download as pdf. Web answer all the questions in the spaces provided in the question paper. Web highlight four ways in which the economic environment. Business Kcse Paper 1.
From www.youtube.com
KCSE 2016 BUSINESS STUDY PAPER 1 AND 2 marking scheme YouTube Business Kcse Paper 1 Web answer all the questions in the spaces provided in the question paper. (4 marks) outline four challenges. Web print pdf for future reference. Web kcse past papers 2020 business studies paper 1. Web highlight four ways in which the economic environment may lead to business success. (b)sign and write the date of examination in the spaces provided. Web kcse. Business Kcse Paper 1.
From kenyanlife.info
2019 KCSE Business Studies Paper 1 Past PaperFree KCSE Past Papers Business Kcse Paper 1 List four external environmental factors that. (4 marks) population size that is adequate for the full utilisation of available resources in a country. Questions state four characteristics of a successful entrepreneur. (4 marks) name the basic concept in population described in the statements given below: State four characteristics of a successful entrepreneur. Published in kenya certificate of secondary education (kcse). Business Kcse Paper 1.
From www.youtube.com
Business studies Form 3 work Questions and Answers KCSE Business Business Kcse Paper 1 Web we’re a team of professionals who have taught in several schools and been involved in marking of kcpe and kcse exams. State four characteristics of a successful entrepreneur. Get on whatsapp download as pdf. (4 marks) population size that is adequate for the full utilisation of available resources in a country. Web print pdf for future reference. (4 marks). Business Kcse Paper 1.
From www.scribd.com
2012 Kcse Business Paper 2 PDF Supply And Demand Profit (Economics) Business Kcse Paper 1 Get on whatsapp download as pdf. (4 marks) list four types of business activities. Web print pdf for future reference. Web answer all the questions in the spaces provided in the question paper. (4 marks) name the basic concept in population described in the statements given below: Web kcse past papers 2020 business studies paper 1. State four characteristics of. Business Kcse Paper 1.
From www.scribd.com
2012 Kcse Business Paper 1 PDF Trade Economies Business Kcse Paper 1 Web print pdf for future reference. Web highlight four ways in which the economic environment may lead to business success. Web outline four roles played by the nairobi securities exchange in the kenyan economy. Web answer all the questions in the spaces provided in the question paper. Get on whatsapp download as pdf. (4 marks) list four types of business. Business Kcse Paper 1.
From muthurwa.com
KNEC KCSE 2018 Business Studies Paper 1and 2 combined with Answers Business Kcse Paper 1 Web kcse past papers 2021 business studies paper 1. List four external environmental factors that. (4 marks) outline four challenges. Web highlight four ways in which the economic environment may lead to business success. Web outline four roles played by the nairobi securities exchange in the kenyan economy. Web we’re a team of professionals who have taught in several schools. Business Kcse Paper 1.
From www.scribd.com
KCSE 2006 Business Studies PAPER 1 PDF Business Kcse Paper 1 This paper consists of 12 printed pages. Web we’re a team of professionals who have taught in several schools and been involved in marking of kcpe and kcse exams. Questions state four characteristics of a successful entrepreneur. Web highlight four ways in which the economic environment may lead to business success. State four characteristics of a successful entrepreneur. (4 marks). Business Kcse Paper 1.
From exovexgwg.blob.core.windows.net
Business Paper 2 Revision at James Spencer blog Business Kcse Paper 1 Web kcse past papers 2021 business studies paper 1. (4 marks) list four types of business activities. Web outline four roles played by the nairobi securities exchange in the kenyan economy. (4 marks) population size that is adequate for the full utilisation of available resources in a country. Web kcse past papers 2020 business studies paper 1. (4 marks) outline. Business Kcse Paper 1.
From www.youtube.com
KCSE Business Studies Revision Form 3 Work Questions and Answers Business Kcse Paper 1 Web kcse past papers 2021 business studies paper 1. Web kcse past papers 2020 business studies paper 1. Web we’re a team of professionals who have taught in several schools and been involved in marking of kcpe and kcse exams. (b)sign and write the date of examination in the spaces provided. Web answer all the questions in the spaces provided. Business Kcse Paper 1.
From teacher.co.ke
2022 KCSE Past Papers with Marking Schemes Teacher.co.ke Business Kcse Paper 1 Get on whatsapp download as pdf. (4 marks) list four types of business activities. (b)sign and write the date of examination in the spaces provided. Web we’re a team of professionals who have taught in several schools and been involved in marking of kcpe and kcse exams. Web kcse past papers 2021 business studies paper 1. Questions state four characteristics. Business Kcse Paper 1.
From cekuoxpi.blob.core.windows.net
Business Paper 1 Kcse at Shanelle Husby blog Business Kcse Paper 1 Web print pdf for future reference. (4 marks) outline four challenges. Web outline four roles played by the nairobi securities exchange in the kenyan economy. Web highlight four ways in which the economic environment may lead to business success. Get on whatsapp download as pdf. (4 marks) name the basic concept in population described in the statements given below: Published. Business Kcse Paper 1.
From www.studocu.com
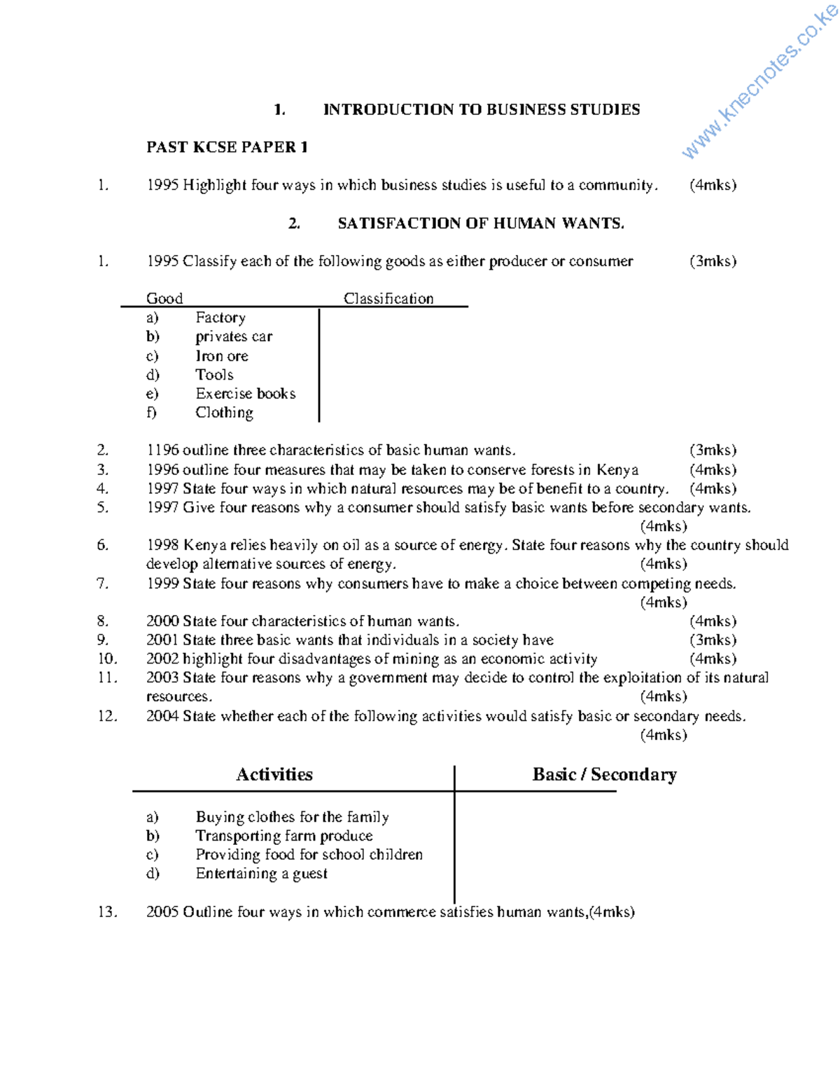
Business Questions 1996 2012 1. INTRODUCTION TO BUSINESS STUDIES PAST Business Kcse Paper 1 (b)sign and write the date of examination in the spaces provided. Web highlight four ways in which the economic environment may lead to business success. State four characteristics of a successful entrepreneur. Web kcse past papers 2021 business studies paper 1. (4 marks) name the basic concept in population described in the statements given below: List four external environmental factors. Business Kcse Paper 1.
From www.kenyaplex.com
Business Studies Past KCSE Exams Paper 1 and Paper 2 Questions and Business Kcse Paper 1 Web print pdf for future reference. State four characteristics of a successful entrepreneur. Questions state four characteristics of a successful entrepreneur. Published in kenya certificate of secondary education (kcse) 2021 past papers questions and answers. Web kcse past papers 2020 business studies paper 1. (4 marks) outline four challenges. Web outline four roles played by the nairobi securities exchange in. Business Kcse Paper 1.
From www.kenyaplex.com
Business Studies Past KCSE Exams Paper 1 and Paper 2 Questions and Business Kcse Paper 1 Web print pdf for future reference. Web we’re a team of professionals who have taught in several schools and been involved in marking of kcpe and kcse exams. (4 marks) list four types of business activities. Questions state four characteristics of a successful entrepreneur. (4 marks) outline four challenges. Web answer all the questions in the spaces provided in the. Business Kcse Paper 1.